|
| ||||||||||||
|
Solving Quadratic Equations |
||||||||||||
There are special features for solving quadratic equations listed under Algebra 2. Consider the following examples. Using Graphing Features:
|
||||||||||||
3. |
Using
a GEOMETRY Option for Intersection |
|
Solve: 2x2 + 2x = 7x - 2
Let's try the equation from Example 2 again. 2. 3.
Click on BOTH graphs. Note: If you forget what to do after step 3, click on the symbol in the upper left corner of the screen, and a hint will drop down (in yellow). |
Window [-3,3] x [-5,15]
|
|
4. |
Only One Root? |
|
|
Solve:
x2 - 4x + 4 = 0
When graphed, this equation only intersects the x-axis in one location. This tells you that this root repeats itself. Follow the process using the Zero option described in Example 1 to officially identify the point as a zero. |
|
5. |
What if
the graph does not intersect the x-axis??? (or intersect option shows no intersections) |
|
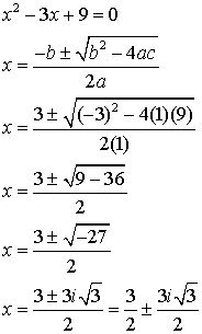
Solve: x2 - 3x + 9 = 0
Start a new Document: When graphed, this equation does NOT
intersect the x-axis. This tells you that the
roots of this equation are complex
(imaginary) values. Using quadratic formula to find the roots.
|
Window [-5,5] x [-5,15]
![]() Remember that complex roots come in conjugate pairs. There is a special feature for solving quadratic equations that can be seen under Algebra 2.
|
|
![]()
Table of Contents | MathBits.com | Terms of Use
|
|